高精度加法
你有下大雨去网吧的勇气,却没有下小雨去图书馆的勇气吗
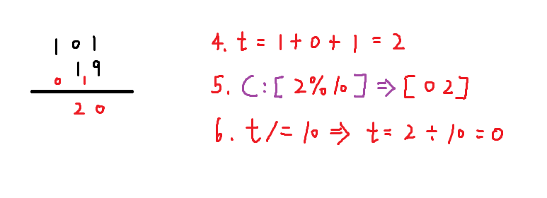
算法思想
使用数组模拟平常我们的竖式计算。例如:





代码实现
1 2 3 4 5 6 7 8 9 10 11 12 13 14 15 16 17 18 19 20 21 22 23 24 25 26 27 28 29 30 31 32 33 34 35 36 37 38 39 40 41 42 43 44 45 46 47 48 49 50
| #include <iostream> #include <cstring> #include <algorithm>
using namespace std;
vector<int> add(vector<int> A, vector<int> B){ if(B.size() > A.size()) return add(B, A); vector<int> C; int t = 0; for(int i = 0; i < A.size(); i++){ t += A[i]; if(i < B.size()) t += B[i]; C.push_back(t % 10); t /= 10; } if(t) C.push_back(t); return C; }
int main() { string a, b; cin >> a >> b; vector<int> A, B; for(int i = a.size() - 1; i >= 0; i--) A.push_back(a[i] - '0'); for(int i = b.size() - 1; i >= 0; i--) B.push_back(b[i] - '0'); vector<int> C = add(A, B); for(int i = C.size() - 1; i >= 0; i--) cout << C[i]; return 0; }
|