学累了就出去走走吧

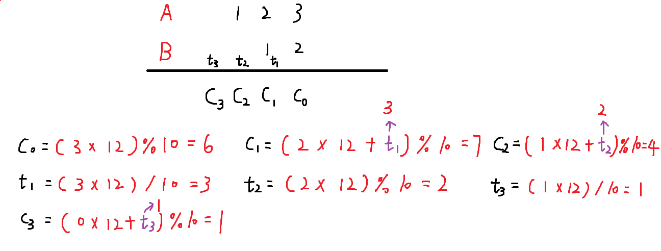
算法思想

image-20230428221023505

代码实现

1
2
3
4
5
6
7
8
9
10
11
12
13
14
15
16
17
18
19
20
21
22
23
24
25
26
27
28
29
30
31
32
33
34
35
36
37
38
39
40
41
42
43
44
45
#include <iostream>
#include <cstring>
#include <algorithm>

using namespace std;

vector<int> mul(vector<int> A, int b){
// 默认A 大于 b
vector<int> C;
int t = 0;

for(int i = 0; i < A.size(); i++){
t += A[i] * b;
C.push_back(t % 10);
t /= 10;
}
// 如果t很大可能会留有剩余
while(t){
C.push_back(t % 10);
t /= 10;
}

// 去除前导0
while(C.size() > 1 && C.back() == 0) C.pop_back();

return C;
}

int main(){

string a;
int b;

cin >> a >> b;

vector<int> A;

for(int i = a.size() - 1; i >= 0; i--) A.push_back(a[i] - '0');

vector<int> C = mul(A, b);

for(int i = C.size() - 1; i >= 0; i--) cout << C[i];

return 0;
}